Guillaume Eynard-Bontemps and Emmanuelle Sarrazin, CNES (Centre National d’Etudes Spatiales - French Space Agency)
2026

Python library for parallel and distributed computing


from dask.distributed import LocalCluster
client = LocalCluster().get_client()
# Submit work to happen in parallel
results = []
for filename in filenames:
data = client.submit(load, filename)
result = client.submit(process, data)
results.append(result)
# Gather results back to local computer
results = client.gather(results)
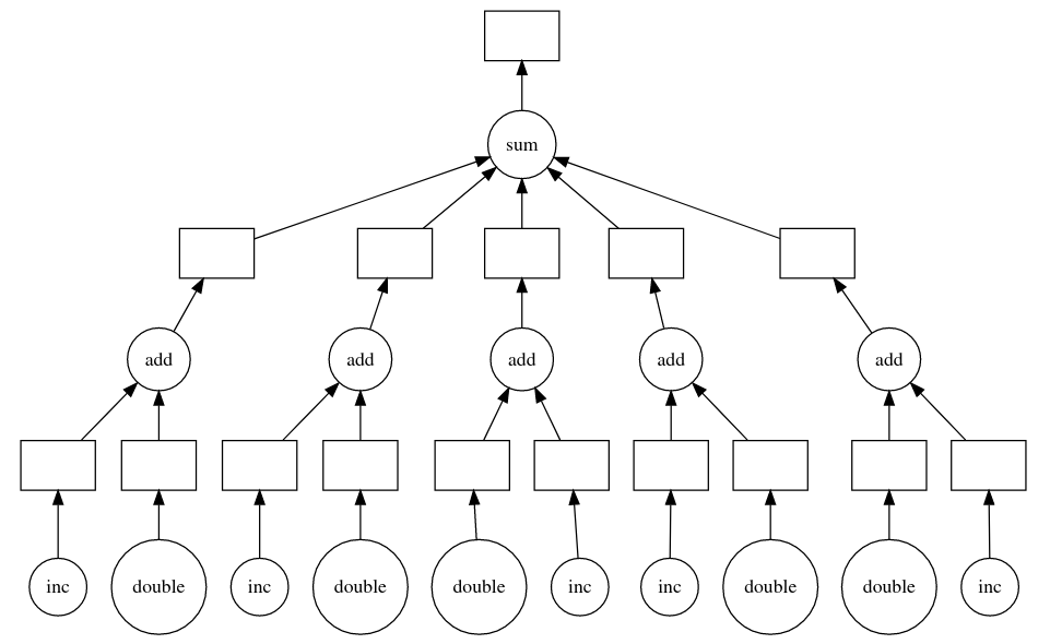
High level collections are used to generate task graphs
Create an array of ones

Create an 2d-array of ones and sum it

Add array to its transpose

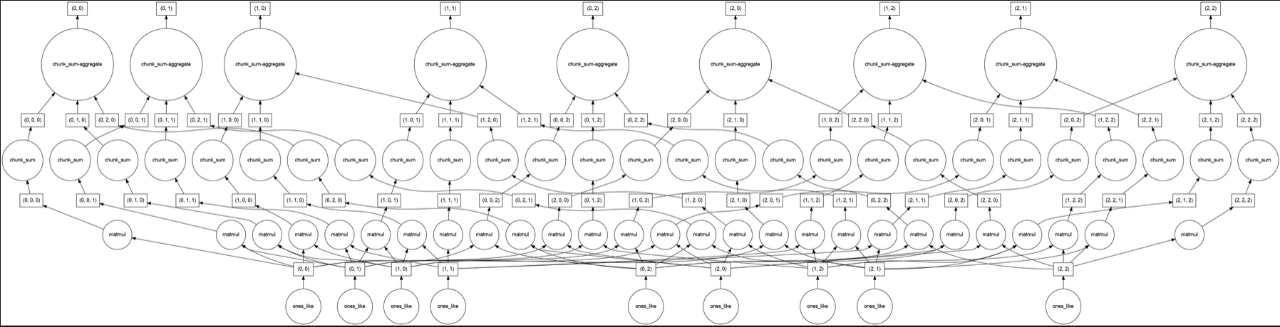
Matrix multiplication
import dask.array as da
x = da.ones((15,15), chunks=(5,5))
y = da.ones((15,15), chunks=(5,5))
r = da.matmul(x,y)
Use compute() to execute the graph and get the
result




Clone https://github.com/esarrazin/big-data-processing-course-tutorials
Look at dask tutorial, try to follow by order of importance:
or
Finish yesterday deployment (needed for tomorrow).